電位法離子濃度檢測計組成和應用
電位法離子濃度檢測 (measurement of ion concentration by potential method)
用電位法離子濃度檢測計測量與溶液離子濃度有關的原電池電勢,以獲取離子濃度信息的礦漿離子濃度檢測技術。
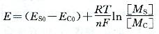
電位法離子濃度檢測計由原電池、測量線路和鹽橋組成。(見圖)原電池由兩個電極和溶液構成,能夠自發地將化學能轉為電能,所以電位法實質上是利用能量形式的轉換取得離子濃度的信息。按照能斯特(Nernst)公式,原電池電勢
![]()
式中Es0 Ec0分別為兩個電極的標準電位;R為克分子氣體常數;T為絕對溫度;n為電極反應中傳遞的電子數;F為法拉第常數;[Ms]、[Mc]分別為兩個電極所在溶液的離子濃度。標準電位E0 是各種電極插在有關離子濃度為1mol的溶液中的電極電位,當溫度一定時,E。與電極材料有關。由上式,如果選用兩個電極的E。,即Eso和Eco均為已知,R、T、n、F為常數,若[Ms]已知,則原電池電勢僅與[地]值有關。插在待測濃度[Ms]溶液中的電極稱為指示(或測量)電極,插在已知濃度[Mc]溶液中的電極稱為參比電極。pH計是根據電位法離子濃度檢測原理測定溶液中氫離子(H+ )濃度的儀器。測量溶液的pH值時,用玻璃電極作指示電極,飽和甘汞電極作參比電極,與被測溶液組成工作電池,電池的電動勢與待測溶液的pH呈線性關系。甘汞電極是由金屬汞和其難溶鹽Hg2Cl2 以及與此鹽有共同陰離子Cl - 的可溶性鹽KCl溶液共同組成的電極。工具箱 | 測速儀 | 電阻測試儀 | 可燃氣體檢測儀 | 硬度計 | 鯉魚鉗 | 轉換器 | 密度計 | 露點儀 | 溫度記錄儀 | 萬用表

用電位法測量溶液離子濃度時,要求指示電極對離子有選擇性,它只對要測量的離子有反應,而對溶液中存在的其余離子沒有反應,即所謂利用離子選擇性電極來測量溶液中的各種離子的濃度。用于測定溶液氫離子濃度的玻璃電極就是一種固體晶膜型離子選擇性電極?梢杂秒娢环y量的選礦礦漿的其他離子有S 2- 、SH-、cN - 、Cu 2+ 、Zn 2+ 以及黃藥離子等。由于礦漿中的離子很多,而且在測量時產生干擾,因此,電極的選擇性尤為重要。此時,參比電極常用甘汞電極,指示電極常用硫化金屬電極,例如用硫化銅 - 硫化銀電極測Cu 2+ ;用硫化錫電極測高濃度S 2- ;用硫化銀電極測S 2- ;用金、銀電極測CN- 、HS- 及黃藥的S 2- ,也可以用輝銀礦電極測黃藥離子的濃度;用鎳電極測Zn 2+ 等。這些金屬電極(金除外)都需要有一層鹽膜,為此,均需在礦漿中浸泡一段時問。
用于在線檢測的工業型酸度計或離子計,是把工作電極、參比電極和溫度補償元件等共同組成發送器探頭,將其置于流程中,輸出離子濃度的電信號,此信號經變換器放大、變流、整流后,以直流電壓值指示被測溶液的離子濃度值,并給出控制信號驅動執行機構去調節生產過程。