示差掃描量熱儀是什么?是怎樣工作的
差示掃描量熱法是在程序控制溫度下,測量輸入到物質和參比物的功率差與溫度的關系的一種技術。根據測量方法的不同,又分為兩種類型:功率補償型DSC 和熱流型DSC 。其主要特點是使用的溫度范圍比較寬(-175~725℃ )、分辨能力高和靈敏度高。在-175~725℃溫度范圍的測量中,除了不能測量腐蝕性材料,DSC 不僅可替代DTA 而且還可定量地測定各種熱力學參數(如熱焓、熵和比熱等),所以在應用科學和理論研究中獲得廣泛應用。
功率補償型DSC 的主要特點是試樣和參比物分別具有獨立的加熱器和傳感器,其結構如下圖所示。

整個儀器由兩個控制電路進行監控,見下圖。

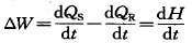
其中一個控制溫度,使樣品和參比物在預定的速率下升溫或降溫;另一個用于補償樣品和參比物之間所產生的溫差(△T),這個溫差是由樣品的放熱或吸熱效應產生的。通過功率補償電路使樣品和參比物的溫度保持相同,這樣就可從補償的功率直接求算出熱流率,即
(1)
式中△W 為所補償的功率;QS為樣品的熱量;QR 為參比物的熱量;dH / dt 為單位時間內的焓變,即熱流率,mJ / s 。
該儀器試樣和參比物的加熱器電阻相等,RS=RR,當試樣沒有任何熱效應時
(2)
如果試樣產生熱效應,功率補償電路立即進行功率補償,所補償的功率為:
(3)
令RS=RR=R ,即得
(4)
因為IS+IR=IT
所以
(5)





兩式相減,并設△T=TR-TS,即得:
(9)
該式表示出溫差△ T 與熱流差(is-iR)成正比。
1984 年Plaats 對熱流型DSC 儀作了理論上的估算,認為在熱流型DSC 儀的構造中,總的傳熱系數KT 值較大可使峰面積校正項較小和儀器分辨力較高。