白光LED衰減的光譜分析
摘要:為了研究白光LED衰減的機理,通過試驗跟蹤并分析了采用YAG熒光粉、熒光粉晶片、RGB三合一方式封裝的PLCC-4型白光LED,以及采用YAG熒光粉封裝的大功率白光LED的發射光譜老化衰減曲線。試驗在相同的環境下,對上述四種類型的白光LED進行了通電老化,同一類型白光LE D老化電流及時間相同,老化完成后測試其光譜分布。通過分析光譜分布曲線的變化來研究白光中各色光的衰減情況,通過對比各色光的衰減情況來推斷白光LED的衰減原因。分析表明白光LED的衰減主要是由藍光LED的衰減及熒光粉的猝滅引起:采用YAG熒光粉、采用熒光粉晶片及RGB LED封裝的白光LED衰減特性基本相同,白光的衰減主要是由藍光的衰減引起;大功率白光LED與PLCC-4型白光LED衰減特性稍有不同,白光的衰減除了因藍光的衰減外,還有熒光粉的衰減所引起的白光衰減,而藍光的衰減所占比例至少不低于80% 。通過上述分析可以進一步推斷:在散熱條件足夠理想的情況下,白光LED的衰減主要由藍光的衰減引起,而隨著系統溫度的提升,熒光粉的衰減將加劇白光LED的衰減。所得結果將為白光LED的應用及進一步對白光LED衰減原因的研究提供了參考。
關鍵詞:白光LED;熒光粉;RGB LED;大功率LED;衰減
1 引 言
白光LED與白熾燈及熒光燈相比具有體積小、發熱量低、耗電量小、壽命長、環保等顯著優點,采用白光LED取代白熾燈及熒光燈照明將產生巨大的經濟效益和社會效益。自20世紀90年代中后期白光LED的問世以來,白光LED引起了世界范圍內的廣泛關注,日本、美國、歐盟、韓國等國家相繼制定了國家發展計劃大力支持白光LED的研究、積極推動白光LED應用,計劃用半導體照明替代白熾燈。以Lumileds、Cree、Osram、Nichia等公司為代表的企業,在白光LED的研究和產業化方面取得了較大進展。在350 mA電流驅動下Lumileds LUXEON I白光LED光通量可達45 lm;Cree XLamp7090白光LED光通量可達50lm;Osram Golden DRAGON白光LE D光通量可達39 lm;Niehia NCCW 系列白光LED光通量可達50 1m。近年來,白光LED在手機、中小尺寸LCD背光源、汽車照明等領域已有大量應用。目前白光LED已經開始進入照相機閃光燈、裝飾照明、礦井照明等領域,可以預見在未來的幾年內,白光LED將逐步進入更加廣泛的照明領域。
隨著白光LED應用領域的不斷擴展,除白光LED發光效率外,其工作壽命同時也成為關注的焦點之一。對支架式白光LED的研究發現,不同的封裝材料如支架、固晶膠、包封材料、熒光粉等對白光LED的光衰有著不同的影響[1],并通過加速老化的方法研究了支架式白光LED衰減特性和壽命[2]。為了促進大功率LED產業化和應用的發展,大功率LED特性的研究逐漸成為半導體行業的焦點之一,我公司在大功率LED的芯片鍵合材料、熱阻特性等方面已有一定的研究[3-6 ]。本文通過研究PLCC-4型和大功率白光LED的光譜來分析白光LED的衰減特性,為大功率白光LED的器件設計和應用提供參考。
2 實驗
白光LED的實現方式目前主要有三種:藍光LED激發YAG熒光粉方式、RGB三合一方式和紫外光LED激發多色熒光粉方式。但由于壽命和效率的問題紫外光LED激發多色熒光粉方式很少采用,目前應用較廣泛的為藍光LED激發YAG熒光粉方式。實驗考察了①采用藍光LED+YAG熒光粉方式封裝的PLCC-4型白光LED;②藍光LED+熒光粉晶片方式封裝的PLCC-4型白光LED;③RGB三合一方式封裝PLCC-4型白光LED;④藍光LED+YAG熒光粉方式封裝的大功率白光LED(Φl0金屬線路板封裝)。① 、② 、③類PLCC-4型白光LED在室溫環境中以20 mA直流電老化和測試;④類大功率白光LED在室溫環境中以350 mA直流電老化和測試。測試儀器為浙江三色儀器有限公司生產的SPR-920D光譜光度測試儀。
3 結果與討論
PLCC-4型白光LED經過8周時間的老化,其光譜變化情況如圖1所示,其中(a)為采用YAG熒光粉封裝;(b)為采用熒光粉晶片封裝;(c)為采用RGB三合一方式封裝。
大功率白光LED經過4周時間的老化,其光譜變化情況如圖2所示。
從圖1、圖2中可以看出,采用熒光粉封裝的白光LED的衰減包括藍光和黃綠光部分的衰減,采用RGB三合一方式封裝的白光LED衰減主要表現為藍光的衰減,紅、綠光的衰減很微小。
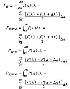
由于白光是由多種單色光混合而成的,因此白光中單色光的衰減情況可以反映出白光的衰減情況。光譜曲線反映了各單色光的能量分布,則光譜曲線所包含的面積可反映其總的輻射能量,曲線所包含面積的對比則可反映其光譜能量的變化。從光譜曲線可以看到,YAG熒光粉封裝的白光LED光譜可以分為兩段,在波長為400~495 nm可視為藍光段,495 nm以上的波段可視為黃綠光段。設白光LED在老化前的光譜曲線函數為

則藍光段的光譜能量為:

黃綠光段的光譜能量為:

設白光LED在老化后的光譜曲線函數為

則藍光段的光譜能量為:

黃綠光段的光譜能量為:

由于白光LED的光譜曲線為非規則光滑曲線,直接計算積分將有一定困難,其積分可采用光譜曲線所包含的面積近似代替,通過計算可得采用YAG熒光粉封裝的白光LED在經過8周老化前后藍光及黃綠光部分光譜能量為:
則藍光部分衰減幅度為:

黃綠光部分衰減幅度為:

采用光譜光度測試儀測試時波長間隔為5 nm,采用上述計算原理計算結果如表1所示。
從以上的計算可以看出,采用YAG熒光粉及熒光晶片封裝PLCC4型白光LED,其衰減過程中,黃綠光部分的衰減與藍光部分的衰減大致相當,表明此時白光的衰減基本上是由藍光的衰減所引起的。采用RGB LED封裝的PLCC-4型白光LED其衰減主要表現為藍光部分的衰減,黃綠光部分的衰減幾乎可以忽略。而Power白光LED表現出與PLCC-4型白光LED不同的特性,從計算可以看出黃綠光的衰減比藍光的衰減多了10% 以上。由于黃綠光部分是由藍光激發YAG熒光粉而發出的光,因此黃綠光部分的衰減可能的原因為藍光部分的衰減及熒光粉的衰減。可以推測,一方面由于藍光的衰減而導致白光的衰減,同時藍光的衰減導致激發能的衰減而致使熒光粉黃綠光發射的減少;另一方面由于熒光粉轉換效率降低也導致黃光發射的減少。引起熒光粉量子效率降低的因素有溫度猝滅、濃度猝滅、雜質猝滅等,在摻雜一定的情況下,溫度猝滅是引起熒光粉量子效率降低的主要因素。PLCC-4型白光LED熱阻約為300℃/W,在30℃環境30 mA電流驅動的工作狀態下,芯片的結溫約為60℃ ;金屬線路板封裝大功率白光LED熱阻約為20℃/W,在30℃環境350 mA電流驅動的工作狀態下,芯片的結溫 也約為60℃ 。而在實際應用中,各類白光LED將焊接在PCB板上,PLCC-4型白光LED焊接到線路板后其系統熱阻變化很小,但焊接Power白光LED所使用的PCB板將對系統熱阻產生較為明顯的影響。由于PowerLED的發熱量相對于PLCC-4型LED大,系統的熱阻將對Power LED上的熱量產生明顯的影響,當系統的熱阻超過50℃/W時,在30℃環境350 mA電流驅動的工作狀態下,芯片的結溫 將超過80℃ 。由于熒光粉的衰減在PLCC-4型白光LED上并未表現或表現的并不明顯,而Power白光LED與PLCC-4型白光LED最根本的區別僅在于兩類器件的熱阻不同。因此,Power白光LED黃綠光部分的衰減快于藍光部分的衰減,其原因可以歸結為藍光的衰減及熒光粉的溫度猝滅。
藍光和黃綠光的衰減同時影響著白光的光學特性,由于藍、綠、紅三種顏色光的比例發生了變化,將導致白光色度坐標、色溫、顯色指數等特性發生變化。在我們的試驗中發現,色度坐標、色溫的變化具有一定的共性,采用熒光粉封裝的白光LED和采用RGB三合一方式封裝的白光LED都表現為色度坐標逐步紅移,色溫降低,顯色指數有波動。從試驗結果來看,隨著白光LED光發射的衰減,白光LED的顯色指數有降低的趨勢。
因此,半導體行業發展白光LED產業和推動白光LED應用過程中,需要采取對策減小藍光芯片本身的衰減、提高器件的散熱性能、改善應用產品的散熱結構,并降低熒光粉的溫度猝滅效應。
4 結論
通過對比試驗觀察白光LED的老化光譜曲線,分析采用熒光粉封裝的白光LED和采用RGB三合一方式封裝的白光LED衰減的機理及衰減過程中色度參數變化的規律。通過光譜能量曲線分析,采用YAG熒光粉、晶片、RGB LED封裝的PLCC-4型白光LED的衰減過程基本相同,主要是由藍光的衰減所引起;Power白光LED的衰減是由藍光的衰減及熒光粉的衰減所引起,因藍光的衰減而引起的白光衰減至少占80%。通過分析可以進一步推斷:系統在散熱條件足夠理想附隋況下,白光LED的衰減主要由藍光的衰減引起,而隨著系統溫度的升高,熒光粉的衰減將開始出現,并將加劇白光LED的衰減。
參考文獻
[1]Wu Haibin,Wang Changling.Experimental research on influence of packing materials of white LED on its luminous decay[J].Acta Optica Sinica(光學學報),2005,25(8):1091-1094(in Chinese).
[2]Lin Liang,Chen Zhizhong,Chen Ting,et a1.Characteristics of the accelerated aging white LEDs[J].Chin. Lumin.(發光學報),2005,26(5):617-621(in Chinese).
[3]Wang Yaohan,Yu Binhai,Li Shunmian.Analysis and simulation of thermal characteristic on die bonding materials of power LE D[J]. Foshan Univ.(Natural Science Edition)(佛山科學技術學院學報(自然科學版)),2005,23(4):14-17(in Chinese).
[4]Yu Binhai,Li Xufeng.Impact of flipchip substrate adhesive on the thermal characteristic of high power LED[J].Semi。conductor Technology(半導體技術),2005,30(6):49-51,55(in Chinese).
[5]Yu Binhai,Wang Yaohao.Junction temperature and thermal resistance restrict the developing of high-power LED [J].Chin. Lumin.(發光學報),2005,26(6):761-766(in Chinese).
[6]Li Binqian,Bu Liangji,Fan Guanghan.A new method measuring thermal resistance of power LED[J].Semiconductor Optoelectronics(半導體光電),2003,24(1):22.24(in Chinese).Spectroscopic Analysis of W hite LED Attenuation
,